跳到主要內容區塊 :::
臉書分享 line分享 推特分享 微博分享 複製網址

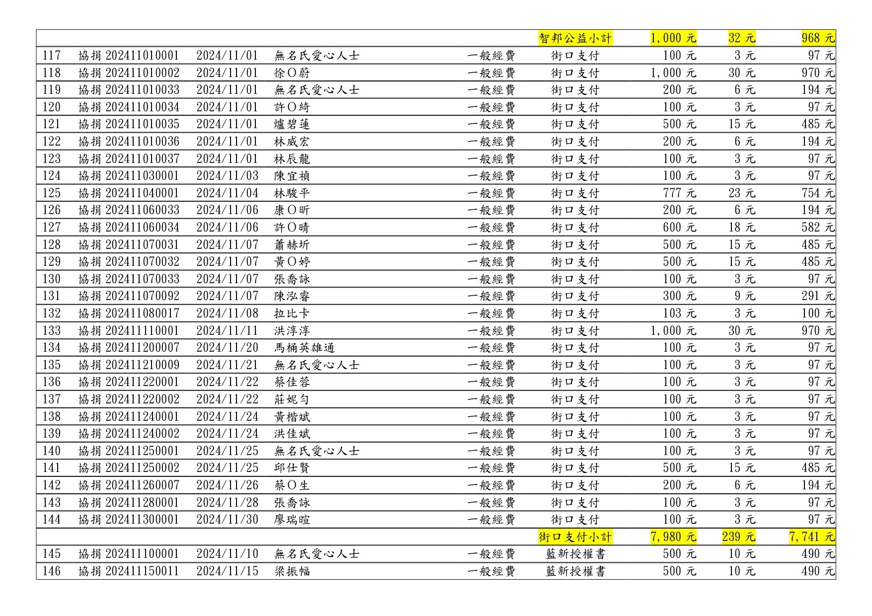
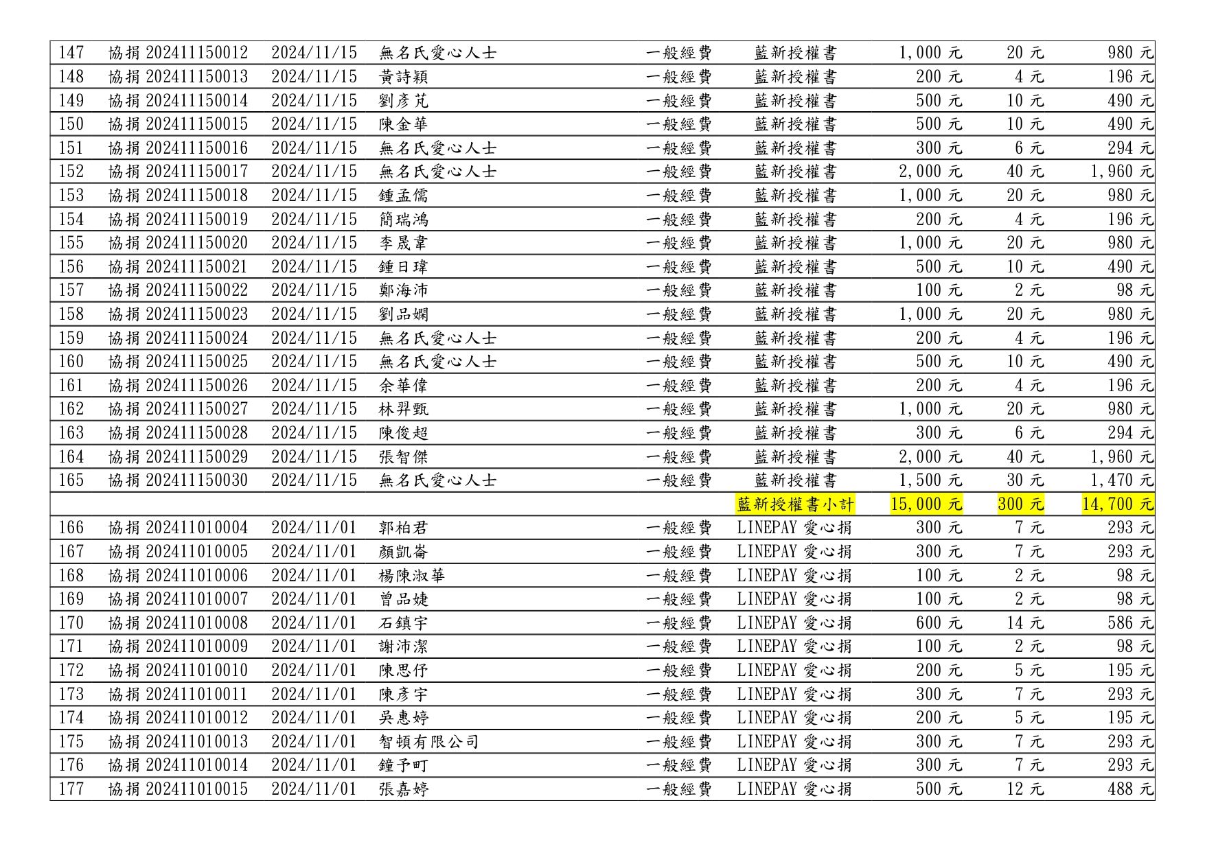
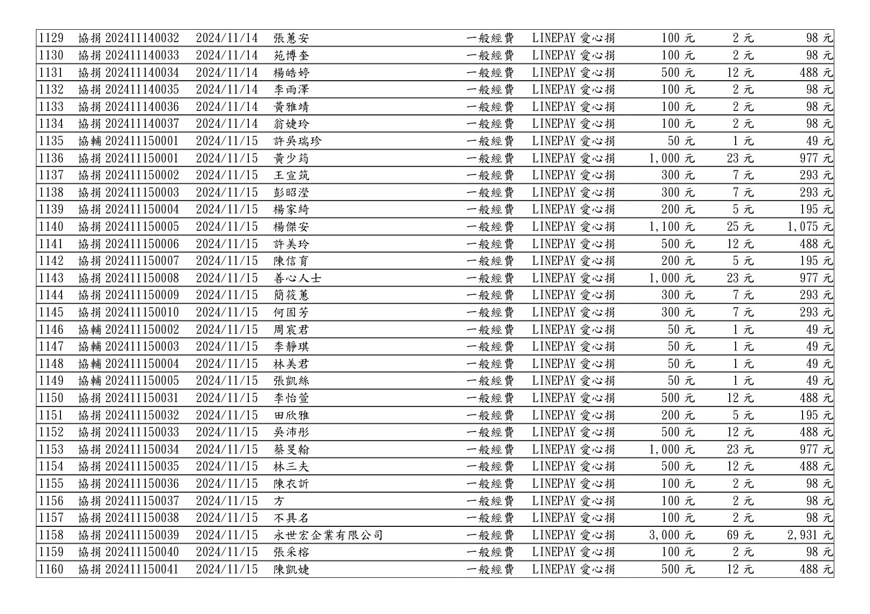
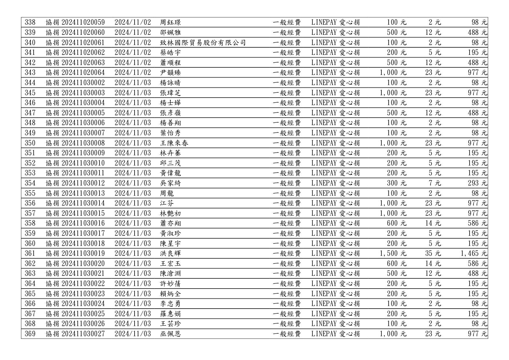
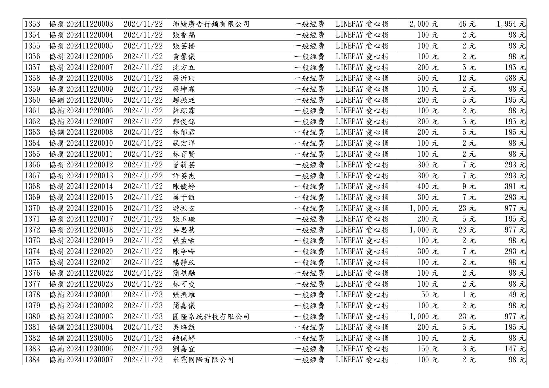
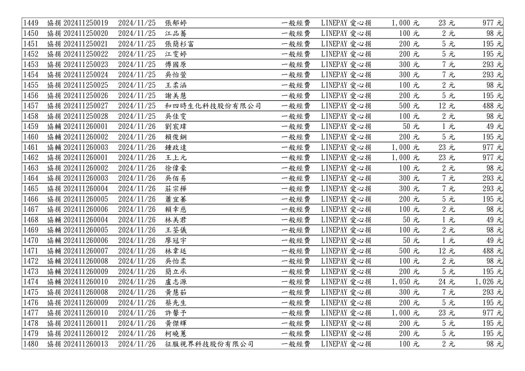
113年11月捐款芳名錄

回到上方